مسابقة الرياضيات الجزءAمن التمرين 1

مسابقة في مادتي الرياضيات والفيزياء للمستوى الثالث ثانوي (بكالوريا)
تنتهي المسابقة يوم 5 ديسمبر 2015
قوانين المنتدى
كل عضو يشاهد مشاركاته فقط إلى غاية انتهاء المسابقة
مغلق
Styl Ina Manel
عضو نشيط
عضو نشيط
مشاركات: 78
اشترك في: الثلاثاء 6 أكتوبر 2015 14:27
الجنس: - أنثى
قمت بتوجيه الشكر: 36 مرات
تم توجيه الشكر لك: 22 مرات

مسابقة الرياضيات الجزءAمن التمرين 1

مشاركة بواسطة Styl Ina Manel »

بسم الله الرحمان الرحيم
التمرين 1
الجزءA
1/نختار من المستقيم( ∆ ) نقطة ولتكن (A(-2.0
نعوض xب 2-في المعادلة ادا كانت النتيجة 0 فهدا يعني ان المعادلة صحيحة
y=-x-2 ,ومنه y=-2-2و y=0ومنه فان y=0 محققة
وعليه فان المستقيم دو المعادلة y=-x-2هي معادلة المستقيم ( ∆ )صحيحة [/b
-2/- من البيان C ƒ فوق المستقيم ( ∆ )معتاه :
لما x ≥ 0فان 0≤ ( f(x)-(-x-2وعليه فان f(x) ≥- x-2
ومنه فان خاطاءة
3/محور الفواصل مقارب افقي للمنحنى C ƒ يقبل م م افقي (محور الفواصل ) معادلته y=0
من البيان فان لما x_____ ∞ + فان0=( lim ƒ (x
صحيحة
4/لدينا 0<xمعناه ان )∞ +;xE)0
ومن البيان لما )∞ +;xE)0فان ƒ مترايدة وعليه فان 0 ≤ ( ƒ '(xلما 0<x صحيحة
5/لما m<0المعادلة( m= ƒ (xتقبل حلين لما) mE)-1/2 خطا
Styl Ina Manel
عضو نشيط
عضو نشيط
مشاركات: 78
اشترك في: الثلاثاء 6 أكتوبر 2015 14:27
الجنس: - أنثى
قمت بتوجيه الشكر: 36 مرات
تم توجيه الشكر لك: 22 مرات

Re: مسابقة الرياضيات الجزءBمن التمرين 1

مشاركة بواسطة Styl Ina Manel »

Nouveau Document Microsoft Office Word (8).docx
Styl Ina Manel
عضو نشيط
عضو نشيط
مشاركات: 78
اشترك في: الثلاثاء 6 أكتوبر 2015 14:27
الجنس: - أنثى
قمت بتوجيه الشكر: 36 مرات
تم توجيه الشكر لك: 22 مرات

Re: مسابقة الرياضيات الجزءاBمن التمرين 1

مشاركة بواسطة Styl Ina Manel »

3.4/B
3.4/B
Sans titre.png (45.01 KiB) تمت المشاهدة 20913 مرةً
Styl Ina Manel
عضو نشيط
عضو نشيط
مشاركات: 78
اشترك في: الثلاثاء 6 أكتوبر 2015 14:27
الجنس: - أنثى
قمت بتوجيه الشكر: 36 مرات
تم توجيه الشكر لك: 22 مرات

Re: مسابقة الرياضيات الجزءAمن التمرين 1

مشاركة بواسطة Styl Ina Manel »

5/B
5/B
Sans titre.png (33.05 KiB) تمت المشاهدة 20913 مرةً
Styl Ina Manel
عضو نشيط
عضو نشيط
مشاركات: 78
اشترك في: الثلاثاء 6 أكتوبر 2015 14:27
الجنس: - أنثى
قمت بتوجيه الشكر: 36 مرات
تم توجيه الشكر لك: 22 مرات

مسايقة الرياضيات الجزءB

مشاركة بواسطة Styl Ina Manel »

1.2/B
1.2/B
Sans titre.png (44.52 KiB) تمت المشاهدة 20914 مرةً
Styl Ina Manel
عضو نشيط
عضو نشيط
مشاركات: 78
اشترك في: الثلاثاء 6 أكتوبر 2015 14:27
الجنس: - أنثى
قمت بتوجيه الشكر: 36 مرات
تم توجيه الشكر لك: 22 مرات

تابع للجزء B

مشاركة بواسطة Styl Ina Manel »

Sans titre.png
Sans titre.png (33.05 KiB) تمت المشاهدة 20913 مرةً
Styl Ina Manel
عضو نشيط
عضو نشيط
مشاركات: 78
اشترك في: الثلاثاء 6 أكتوبر 2015 14:27
الجنس: - أنثى
قمت بتوجيه الشكر: 36 مرات
تم توجيه الشكر لك: 22 مرات

المسالة

مشاركة بواسطة Styl Ina Manel »

Sans titre.png
Sans titre.png (42.18 KiB) تمت المشاهدة 20911 مرةً
Styl Ina Manel
عضو نشيط
عضو نشيط
مشاركات: 78
اشترك في: الثلاثاء 6 أكتوبر 2015 14:27
الجنس: - أنثى
قمت بتوجيه الشكر: 36 مرات
تم توجيه الشكر لك: 22 مرات

المسالة

مشاركة بواسطة Styl Ina Manel »

Sans titre.png
Sans titre.png (42.18 KiB) تمت المشاهدة 20911 مرةً
Styl Ina Manel
عضو نشيط
عضو نشيط
مشاركات: 78
اشترك في: الثلاثاء 6 أكتوبر 2015 14:27
الجنس: - أنثى
قمت بتوجيه الشكر: 36 مرات
تم توجيه الشكر لك: 22 مرات

تابع للمسالة

مشاركة بواسطة Styl Ina Manel »

Sans titre.png
Sans titre.png (39.62 KiB) تمت المشاهدة 20911 مرةً
Styl Ina Manel
عضو نشيط
عضو نشيط
مشاركات: 78
اشترك في: الثلاثاء 6 أكتوبر 2015 14:27
الجنس: - أنثى
قمت بتوجيه الشكر: 36 مرات
تم توجيه الشكر لك: 22 مرات

الفيزياء

مشاركة بواسطة Styl Ina Manel »

Sans titre.png
Sans titre.png (21.08 KiB) تمت المشاهدة 20912 مرةً
Styl Ina Manel
عضو نشيط
عضو نشيط
مشاركات: 78
اشترك في: الثلاثاء 6 أكتوبر 2015 14:27
الجنس: - أنثى
قمت بتوجيه الشكر: 36 مرات
تم توجيه الشكر لك: 22 مرات

السؤال 2 فالفيزياء

مشاركة بواسطة Styl Ina Manel »

Sans titre.png
Sans titre.png (18.39 KiB) تمت المشاهدة 20911 مرةً
Styl Ina Manel
عضو نشيط
عضو نشيط
مشاركات: 78
اشترك في: الثلاثاء 6 أكتوبر 2015 14:27
الجنس: - أنثى
قمت بتوجيه الشكر: 36 مرات
تم توجيه الشكر لك: 22 مرات

تابع للفيزياء

مشاركة بواسطة Styl Ina Manel »

Sans titre.png
Sans titre.png (22.85 KiB) تمت المشاهدة 20911 مرةً
Styl Ina Manel
عضو نشيط
عضو نشيط
مشاركات: 78
اشترك في: الثلاثاء 6 أكتوبر 2015 14:27
الجنس: - أنثى
قمت بتوجيه الشكر: 36 مرات
تم توجيه الشكر لك: 22 مرات

السؤال 3 فالفيزياء

مشاركة بواسطة Styl Ina Manel »

Sans titre.png
Sans titre.png (27.46 KiB) تمت المشاهدة 20911 مرةً
Styl Ina Manel
عضو نشيط
عضو نشيط
مشاركات: 78
اشترك في: الثلاثاء 6 أكتوبر 2015 14:27
الجنس: - أنثى
قمت بتوجيه الشكر: 36 مرات
تم توجيه الشكر لك: 22 مرات

السؤال5 فالفيزياء

مشاركة بواسطة Styl Ina Manel »

Sans titre.png
Sans titre.png (34.37 KiB) تمت المشاهدة 20911 مرةً
Styl Ina Manel
عضو نشيط
عضو نشيط
مشاركات: 78
اشترك في: الثلاثاء 6 أكتوبر 2015 14:27
الجنس: - أنثى
قمت بتوجيه الشكر: 36 مرات
تم توجيه الشكر لك: 22 مرات

السؤال 3 فالفيزياء تابع لجدول التقدم

مشاركة بواسطة Styl Ina Manel »

Sans titre.png
Sans titre.png (33.99 KiB) تمت المشاهدة 20911 مرةً
Styl Ina Manel
عضو نشيط
عضو نشيط
مشاركات: 78
اشترك في: الثلاثاء 6 أكتوبر 2015 14:27
الجنس: - أنثى
قمت بتوجيه الشكر: 36 مرات
تم توجيه الشكر لك: 22 مرات

التمرين 2

مشاركة بواسطة Styl Ina Manel »

بسم الله الرحمان الرحيم
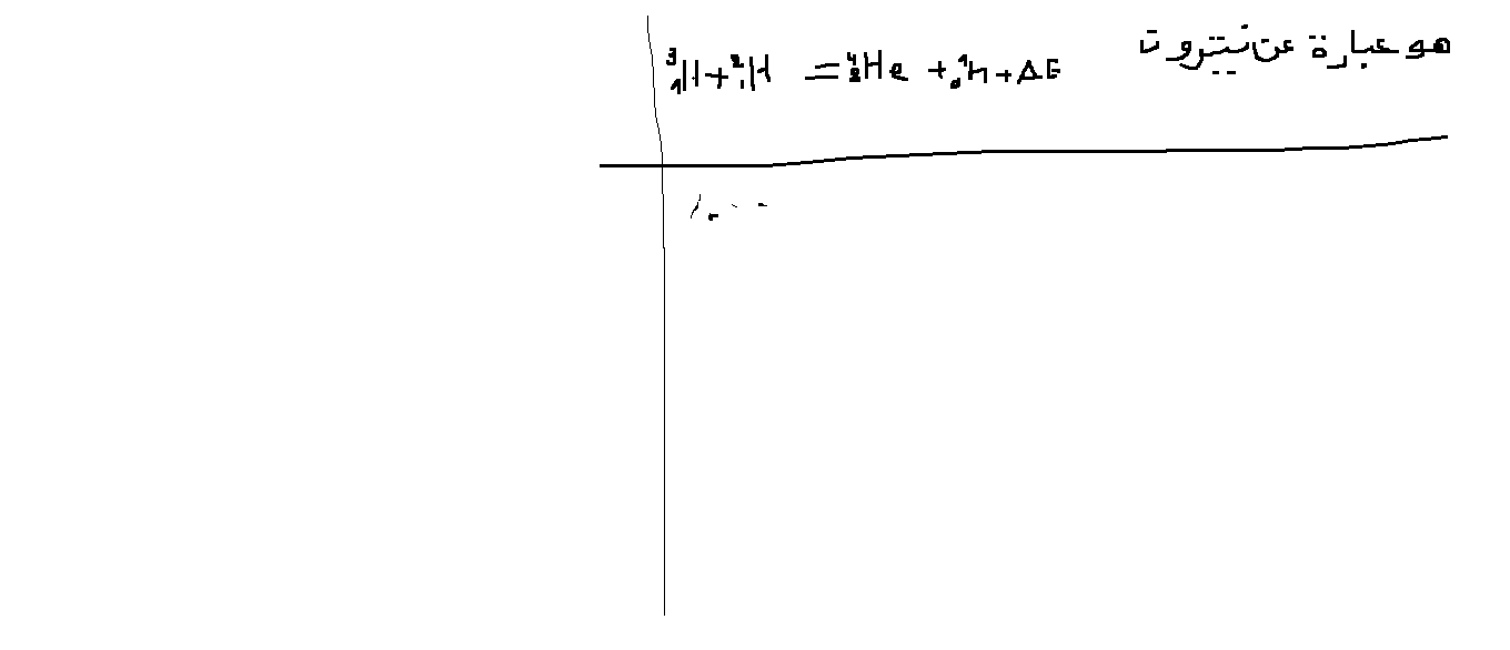
1/يتعلق زمن نصف العمر ب:عدد الانوية المشعة الابتدائية
2/ا/الديتيريوم :1بروتون و 1نيترون
الثريثيوم :1بروتون و 2نيترون
تسمى بالنظائر
Sans titre.png
Sans titre.png (47.64 KiB) تمت المشاهدة 20912 مرةً
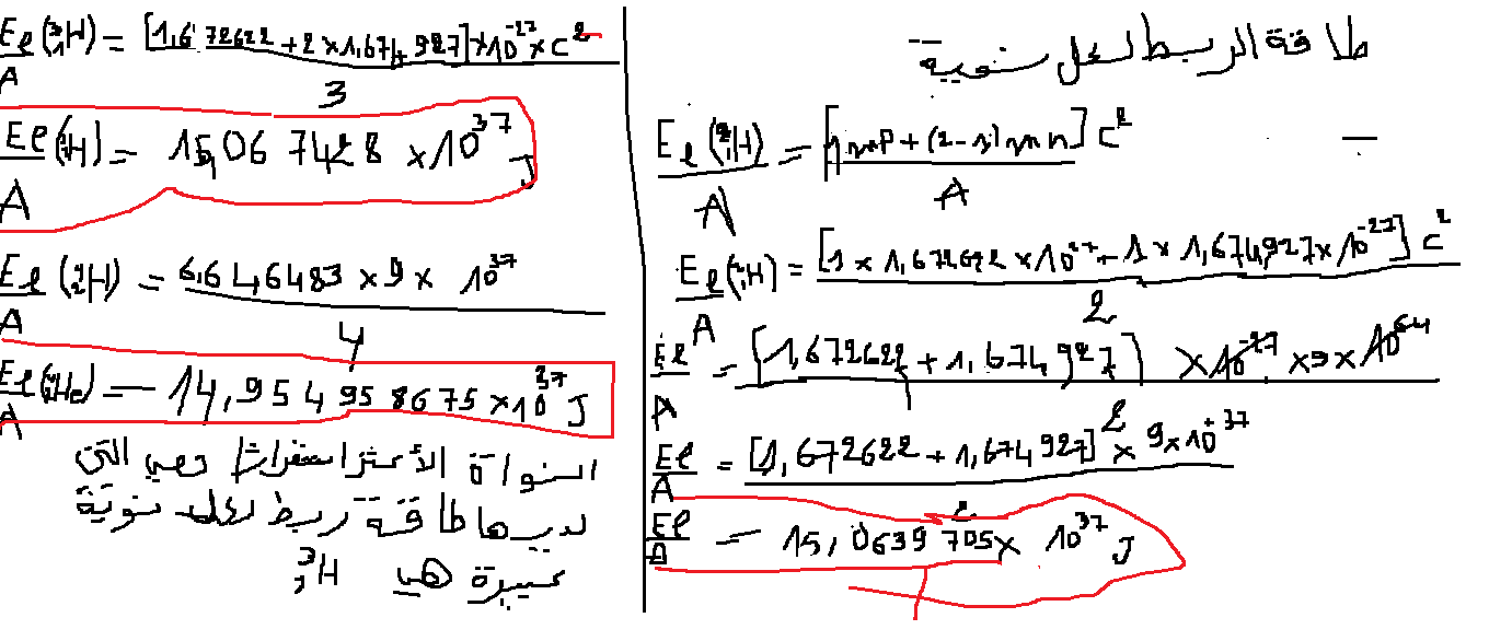
نواة الترسيوم اكثر استقرارا من نواتي الهيليوم والدتيريوم
نواة الديتيروم اكثر استقرارا من نواة الهيليوم
3/ا-تحديد AوZثم Y
حسب قانوني صودي
-قانون انحفاظ االعدد الشحني Zفان : Z+2=2ومنه فان Z=0
-قانون انحفاظ العدد الكتلي Aفان : A+4=5;ومنه فان A=1
ومنه فان Yهو نيترون
Sans titre.png
Sans titre.png (16.01 KiB) تمت المشاهدة 20912 مرةً
Styl Ina Manel
عضو نشيط
عضو نشيط
مشاركات: 78
اشترك في: الثلاثاء 6 أكتوبر 2015 14:27
الجنس: - أنثى
قمت بتوجيه الشكر: 36 مرات
تم توجيه الشكر لك: 22 مرات

التمرين 2

مشاركة بواسطة Styl Ina Manel »

بسم الله الرحمان الرحيم
1/يتعلق زمن نصف العمر ب:عدد الانوية المشعة الابتدائية
2/ا/الديتيريوم :1بروتون و 1نيترون
الثريثيوم :1بروتون و 2نيترون
تسمى بالنظائر
Sans titre.png
نواة الترسيوم اكثر استقرارا من نواتي الهيليوم والدتيريوم
نواة الديتيروم اكثر استقرارا من نواة الهيليوم
3/ا-تحديد AوZثم Y
حسب قانوني صودي
-قانون انحفاظ االعدد الشحني Zفان : Z+2=2ومنه فان Z=0
-قانون انحفاظ العدد الكتلي Aفان : A+4=5;ومنه فان A=1
ومنه فان Yهو نيترون
Sans titre.png
Styl Ina Manel
عضو نشيط
عضو نشيط
مشاركات: 78
اشترك في: الثلاثاء 6 أكتوبر 2015 14:27
الجنس: - أنثى
قمت بتوجيه الشكر: 36 مرات
تم توجيه الشكر لك: 22 مرات

تابع لمسالة الرياضيات

مشاركة بواسطة Styl Ina Manel »

Sans titre.png
Sans titre.png (46.47 KiB) تمت المشاهدة 20912 مرةً
Styl Ina Manel
عضو نشيط
عضو نشيط
مشاركات: 78
اشترك في: الثلاثاء 6 أكتوبر 2015 14:27
الجنس: - أنثى
قمت بتوجيه الشكر: 36 مرات
تم توجيه الشكر لك: 22 مرات

تابع للمسالة

مشاركة بواسطة Styl Ina Manel »

Sans titre.png
Sans titre.png (46.47 KiB) تمت المشاهدة 20912 مرةً
مغلق

العودة إلى ”مسابقة تجربتي الثالثة في الرياضيات والفيزياء [مغلقة]“