صفحة 1 من 1
ارجوك مساعدة في حل التمرين 78ص 34 الرياضيات 2 ثانوي
مرسل: السبت 10 أكتوبر 2015 11:25
بواسطة تيماء
ارجوكم مساعدة في حل التمرين 78ص 34 الرياضيات 2 ثانوي
ارجوووكم مسااااااااعدة في الرياضياااااااااات
مرسل: السبت 10 أكتوبر 2015 13:27
بواسطة تيماء

- Capture.PNG (266.13 KiB) تمت المشاهدة 28421 مرةً

- Capture4444.PNG (320.68 KiB) تمت المشاهدة 28421 مرةً
Re: ارجوك مساعدة في حل التمرين 78ص 34 الرياضيات 2 ثانوي
مرسل: السبت 10 أكتوبر 2015 14:20
بواسطة ياسر
1 لتعيين احداثيي نقطة تقاطع p و h نقوم بحل المتراجحة:
f(x)=g(x)
2 الوضع النسبي هو f-g اذا كانت النتيجة موجبة f فوق g والعكس وعند النقطة السابقة في سؤال1 يتقاطع المنحنيان
II)
1 نحسب g=fm
2 نعوض
3 ننشر الجزء2 من المتراجحة ونستعمل التطابق أو نستعمل القسمة الإقليدية مباشرة
4 من السؤال السابق
ملاحظة هناك خطا في التمرين في السؤال 3
bmx وليس bmx²
Re: ارجوك مساعدة في حل التمرين 78ص 34 الرياضيات 2 ثانوي
مرسل: السبت 10 أكتوبر 2015 17:13
بواسطة تيماء

- 20151010_170511.jpg (1.42 MiB) تمت المشاهدة 28411 مرةً
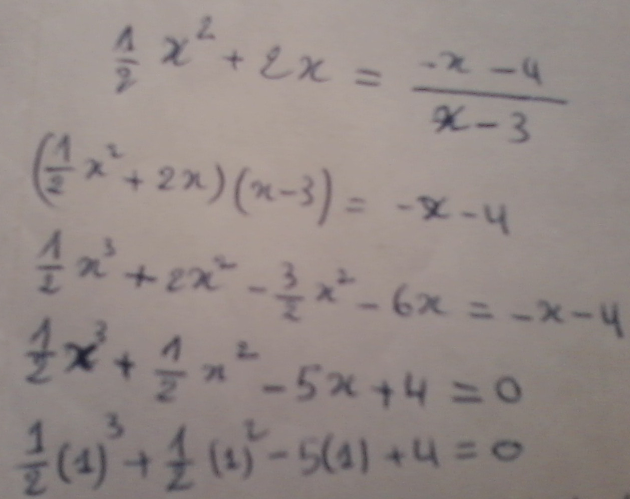
هذه محاولة مني هل هي صحيحة؟؟؟؟؟
Re: ارجوك مساعدة في حل التمرين 78ص 34 الرياضيات 2 ثانوي
مرسل: السبت 10 أكتوبر 2015 21:28
بواسطة ياسر
المعادلة ستكون من الدرجة الثالثة :

- P10-10-15_21.25.jpg (126.91 KiB) تمت المشاهدة 28377 مرةً
نحلها بالتجريب فنجد 1، 2 و -4 حلول للمعادلة
أو من البيان مباشرة:

- 78page34.png (9.15 KiB) تمت المشاهدة 28377 مرةً
Re: ارجوك مساعدة في حل التمرين 78ص 34 الرياضيات 2 ثانوي
مرسل: السبت 10 أكتوبر 2015 21:40
بواسطة ياسر
النقط:
(1;5/2)
(2;6)
(-4;0)
الوضع النسبي:
\(f(x)-g(x)\)
\({1 \over 2} x (x+4) - ( {{-x-4}\over{x-3}} )\)
عندما يكون هذا الفرق سالب فإن منحنى الدالة g فوق منحنى الدالة f وعندمي يكون معدوم فإن المنحنيين يتقاطعان وعادما يكون موجب يكون منحنى g تحت منحنى f
Re: ارجوك مساعدة في حل التمرين 78ص 34 الرياضيات 2 ثانوي
مرسل: الاثنين 12 أكتوبر 2015 9:25
بواسطة تيماء
الحلول ليست نفسها التي ذكرتها هل هناك خطا؟؟؟؟؟؟؟

- 20151012_091839-1.jpg (2.82 MiB) تمت المشاهدة 28359 مرةً

- 20151012_091849.jpg (2.05 MiB) تمت المشاهدة 28359 مرةً
Re: ارجوك مساعدة في حل التمرين 78ص 34 الرياضيات 2 ثانوي
مرسل: الاثنين 12 أكتوبر 2015 9:35
بواسطة ياسر
Re: ارجوك مساعدة في حل التمرين 78ص 34 الرياضيات 2 ثانوي
مرسل: الاثنين 12 أكتوبر 2015 20:07
بواسطة تيماء

- 20151012_200217-1.jpg (2.27 MiB) تمت المشاهدة 28341 مرةً
Re: ارجوك مساعدة في حل التمرين 78ص 34 الرياضيات 2 ثانوي
مرسل: الجمعة 30 أكتوبر 2015 11:46
بواسطة mouloud
حل التمرين 78 ص34 من الكتاب المدرسي للسنة 2 ثانوي الشعب العلمية
Re: ارجوك مساعدة في حل التمرين 78ص 34 الرياضيات 2 ثانوي
مرسل: الجمعة 30 أكتوبر 2015 11:54
بواسطة ياسر
mouloud كتب:حل التمرين 78 ص34 من الكتاب المدرسي للسنة 2 ثانوي الشعب العلمية
نعم حله بسيط الى هذه الدرجة
شكرا جزيلا

- 78p34.2as.png (34.04 KiB) تمت المشاهدة 28297 مرةً
ارجوك مساعدة في حل التمرين 78ص 34 الرياضيات 2 ثانوي
مرسل: السبت 22 أكتوبر 2016 20:23
بواسطة ادريس
ارجو المساعدة في حل التمرين حلا مفصلا من فضلكم. و شكرا
الله اكبر الحمد لله سبحان الله وبحمده
ارجوك مساعدة في حل التمرين 78ص 34 الرياضيات 2 ثانوي
مرسل: الأحد 15 جانفي 2017 16:23
بواسطة رقية
ارجوكم اريد حل للتمارين التالية 32ص28 و 45ص30 و13ص60
ارجوك مساعدة في حل التمرين 78ص 34 الرياضيات 2 ثانوي
مرسل: الأحد 15 جانفي 2017 18:01
بواسطة ياسر
رقية كتب:QR_BBPOST ارجوكم اريد حل للتمارين التالية 32ص28 و 45ص30 و13ص60
ضعي نصوص التمارين ومحاولتك، أو ابحثي عن الحل هنا:
viewtopic.php?f=18&t=1185
ارجوك مساعدة في حل التمرين 78ص 34 الرياضيات 2 ثانوي
مرسل: الاثنين 2 أكتوبر 2017 20:50
بواسطة mariem
حل التمرين 77 صفحة 34
ارجوك مساعدة في حل التمرين 78ص 34 الرياضيات 2 ثانوي
مرسل: الخميس 5 أكتوبر 2017 21:31
بواسطة اريج لوصيف
ارجوكم اريح حل التمري 77 صفحة 34 قبل الاحد
ارجوك مساعدة في حل التمرين 78ص 34 الرياضيات 2 ثانوي
مرسل: الخميس 5 أكتوبر 2017 21:37
بواسطة ياسر
اريج لوصيف كتب:QR_BBPOST ارجوكم اريح حل التمري 77 صفحة 34 قبل الاحد
ضعي نص التمرين
ارجوك مساعدة في حل التمرين 78ص 34 الرياضيات 2 ثانوي
مرسل: الجمعة 6 أكتوبر 2017 12:01
بواسطة زينب زينب
ضعي نص التمرين